1 / 2
0
Views
0
Downloads


0.0
0
0 Likes
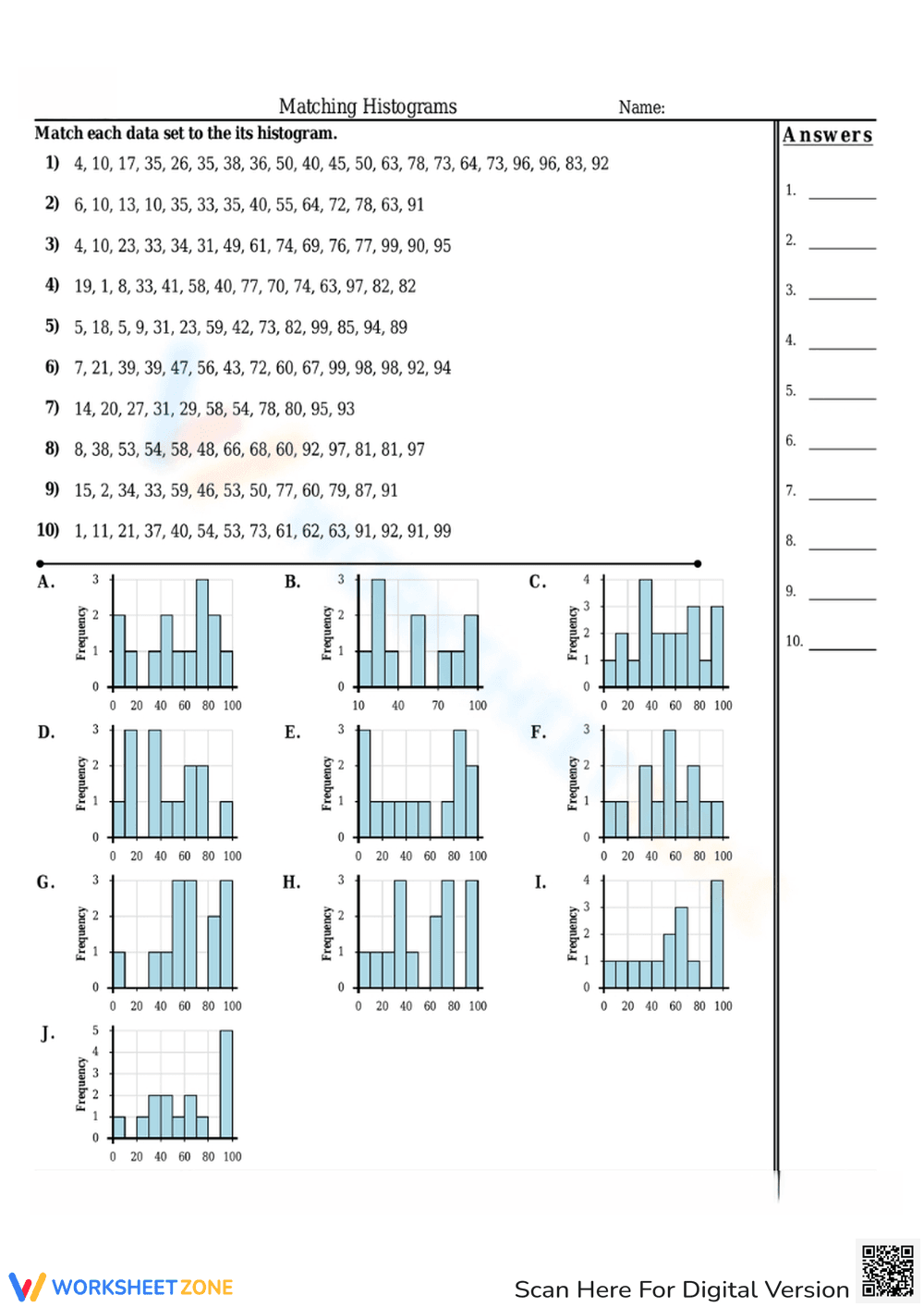
Histogram Matching Activity | Math Data Analysis
0 Views
0 Downloads
Paste this activity's link or code into your existing LMS (Google Classroom, Canvas, Teams, Schoology, Moodle, etc.).
Students can open and work on the activity right away, with no student login required.
You'll still be able to track student progress and results from your teacher account.
Information
Description
Learn to interpret histograms with this engaging worksheet! Students match data sets to their correct graphical representations for practice.




